Some of the raw materials used for PLA’s production include corn starch, tapioca roots, or sugarcane. Its properties, however, are comparable to other plastics in the industry.
How is It Made?
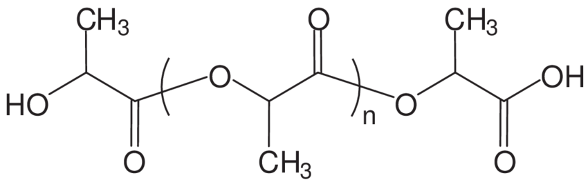
PLA is a polyester made through the fermentation under controlled conditions of a carbohydrate source like corn starch or sugarcane. Its building blocks can either be lactic acid or lactide monomers. They will later be polymerized into PLA.
Initially, corn goes through wet milling. Here’s were the starch gets separated. The starch is then mixed with acid or enzymes and heated. This process “breaks” starch into dextrose (D-glucose), or corn sugar. Finally, fermentation of glucose produces L-Lactic acid, which will be the basic constituent of PLA.
Two methods for manufacturing PLA plastic from lactic acid are applied. The first one uses lactide as an intermediate state, which results in greater molecular weight. The second method consists in the direct polymerization of lactic acid.
What Are the Benefits?
PLA is bio-based and biodegradable. PLA is biodegradable. It will convert into natural material, such as water, carbon dioxide, and composite. This process is carried out by microorganisms and influenced by temperature and humidity.
PLA is a thermoplastic, it can be melted and reshaped without significantly degrading its mechanical properties. Hence, PLA is mechanically recyclable.
What Are the Drawbacks?
Slow decomposition outside of a controlled environment. It will decompose within three months when having specific and controlled composting conditions. It can take between 100 to 1000 years to decompose in a landfill.
The use of food crops as feedstock can be a moral issue.
It often relies on GMO crops.
It will contaminate the recycling process of other plastics.
Decomposition can be an advantage and disadvantage. As a controlled end of-life option, it’s an advantage. However, food packaging are supposed to protect food. You don’t want your packaging to start decomposing at the wrong moment (transport, export, etc).
PLA plastic will behave in a brittle way unless blending it with less environmentally friendly polymers.
PLA are deficient in their strength and crystallinity compared to fossil based plastics.
Properties
- Rheological Properties
PLA viscosity (resistance to flow) will change depending on the stress that it is subjected to. Specifically, PLA is a shear-thinning material, which means that the viscosity decreases with applied stress.
- Mechanical Properties
PLA plastic has good mechanical properties compared to traditional polymers like polypropylene, polystyrene, and polyurethane. Especially when it comes to Young’s modulus (the ability to tolerate elongation under tension or compression), tensile strength (force needed to pull something), and flexural strength (stress needed to start plastic deformation).
- Thermal properties
Even though its thermal properties depend on its molecular weights, PLA can be classified as a semi-crystalline polymer. Its glass transition temperature at ~55°C and melting temperature at ~180°C are comparatively low, for example when thinking of other thermoplastics such as ABS. And, just like oil-based plastics, PLA can burn. Precautions should be taken.
What Are the Different Types of PLA?
All of the varieties of PLA share that they are made up of lactic acid (C3H6O3). Their difference, despite having the same molecular formula is the orientation of their atoms in space. They include poly L-lactide (PLLA), poly D-lactide (PLDA), and poly-DL-lactide (PDLLA).
Note that PLA is a nomenclature that does not agree with the IUPAC, as it is a polyester rather than a polyacid.
Where is It Used?
- Food-Packing industry: PLA is Generally Recognized as Safe (GRAS) when using it to store food. Even though it can release lactic acid in contact with specific liquids, it was not found to have a concentration high enough to harm humans. Read more about PLA in the food industry and what you really need to know about it.
- Healthcare and Medical industry: PLA plastic is biocompatible, meaning that it can be used for devices in the human body with minimum inflammation and infection. As a result, and given its attractive source, it has been employed in the production of biomedical and clinical applications, in bone fixation devices, such as screws, plates, surgical structure and meshes, and drug delivery systems. An amazing addition is the possibilities in tissue engineering. Its bio-compatibility and its ability to dissolve in the body show that it posses great promise in solving problems such as tissue loss and organ failure.
- Structural applications: PLA material can be used in the construction industry as, for example, foam for insulation, fiber used in carpets, and in furnishing. However, given its properties and biological susceptibility, it has restricted applications in this industry.
- Textile industry: Efforts in the plastic industry, aim to take bio-sourced PLA fiber to replace non-renewable polyester textiles. The advantages include breathability, lower weight, and recyclability, among others.
- Cosmetics industry: consumer awareness of plastic pollution has driven industries as the cosmetic one to seek sustainable solutions that ensure product preservation.
Is It Sustainable?
PLA plastic is sustainable because it comes from renewable resources that absorb CO2 and convert it into glucose. This will later be processed to obtain a nearly carbon-free product. After PLA material is ready to be disposed of by the consumer, it can be biodegraded.
However, disposal of PLA plastic requires very specific conditions, and mixing it with other plastics can affect the whole recycling process. The waste PLA plastic needs to be sorted apart and sent to an industrial composting facility. This implies an environmental cost for transportation.
Most cities do not have the facilities to carry this process and most of the PLA waste will end up in landfills or in the oceans.
REFS
This article was published on all3dp.com and written by Rocío Jaimes Gutierrez
PLA Plastic – All You Need to Know About PLA Material in 2019

